Официальное опубликование правовых актов
ОФИЦИАЛЬНОЕ ОПУБЛИКОВАНИЕ
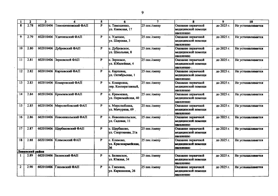
Постановление Совета министров Республики Крым от 13.12.2019 № 733
"О внесении изменений в постановление Совета министров Республики Крым от 30 декабря 2015 года № 855 "Об утверждении Схемы территориального планирования Республики Крым"
Номер опубликования: 9100201912200005
Дата опубликования: 20.12.2019
Страница №17 из 600:
Увеличить