Официальное опубликование правовых актов
ОФИЦИАЛЬНОЕ ОПУБЛИКОВАНИЕ
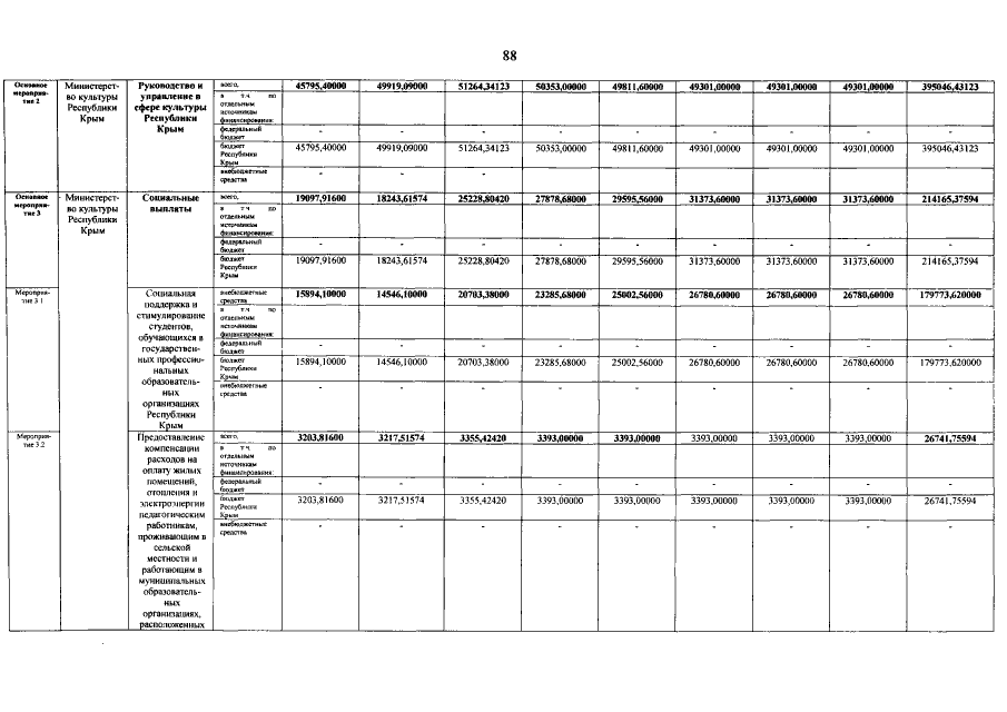
Постановление Совета министров Республики Крым от 05.12.2019 № 697
"О внесении изменений в постановление Совета министров Республики Крым от 31 января 2017 года № 28"
Номер опубликования: 9100201912130002
Дата опубликования: 13.12.2019
Страница №88 из 105:
Увеличить