Официальное опубликование правовых актов
ОФИЦИАЛЬНОЕ ОПУБЛИКОВАНИЕ
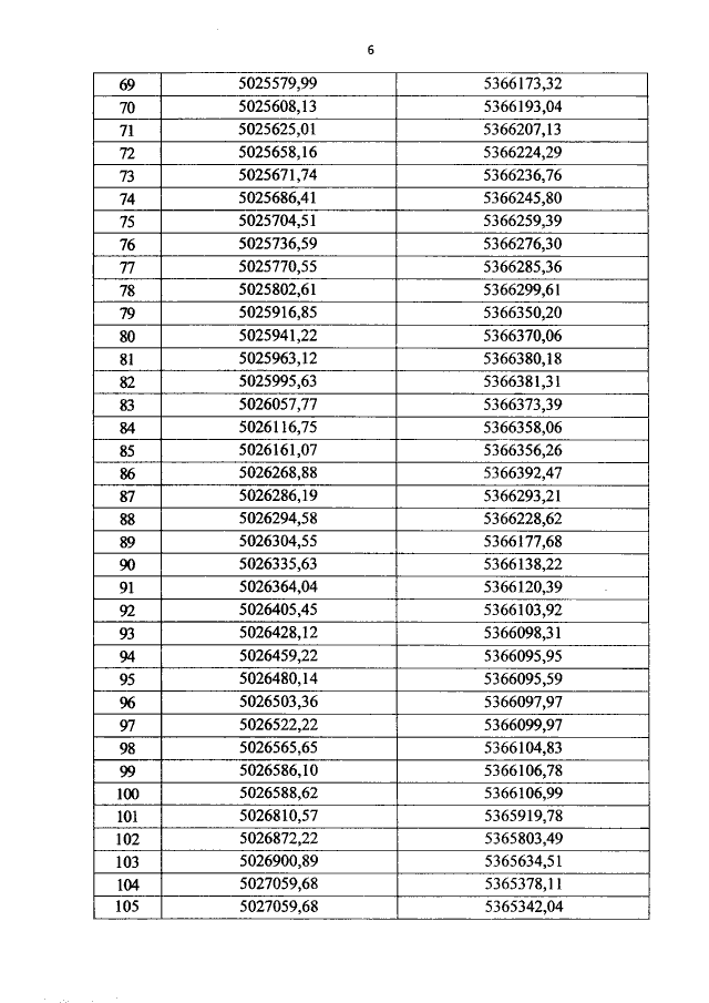
Постановление Совета министров Республики Крым от 21.10.2019 № 592
"Об установлении границ и режима округа горно-санитарной охраны лечебно-оздоровительной местности местного значения "Чокракская" Республики Крым"
Номер опубликования: 9100201910250006
Дата опубликования: 25.10.2019
Страница №6 из 28:
Увеличить