Официальное опубликование правовых актов
ОФИЦИАЛЬНОЕ ОПУБЛИКОВАНИЕ
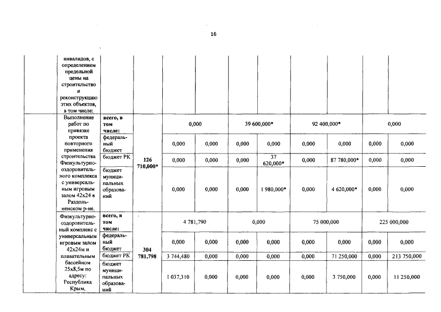
Постановление Совета министров Республики Крым от 26.09.2019 № 559
"О внесении изменений в постановление Совета министров Республики Крым от 30 декабря 2015 года № 874"
Номер опубликования: 9100201910010003
Дата опубликования: 01.10.2019
Страница №16 из 19:
Увеличить