Официальное опубликование правовых актов
ОФИЦИАЛЬНОЕ ОПУБЛИКОВАНИЕ
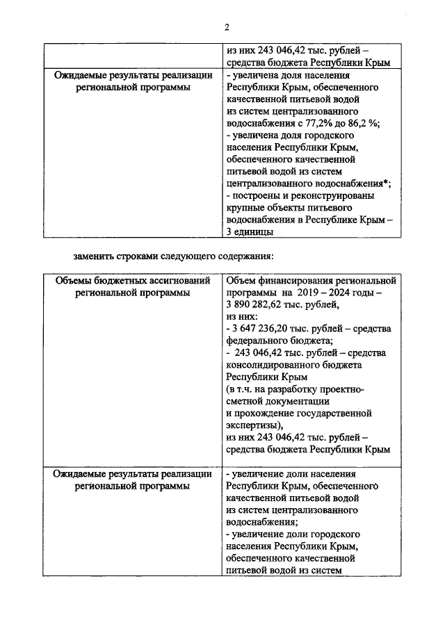
Постановление Совета министров Республики Крым от 19.09.2019 № 535
"О внесении изменений в постановление Совета министров Республики Крым от 1 августа 2019 года № 417"
Номер опубликования: 9100201909240003
Дата опубликования: 24.09.2019
Страница №2 из 19:
Увеличить