Официальное опубликование правовых актов
ОФИЦИАЛЬНОЕ ОПУБЛИКОВАНИЕ
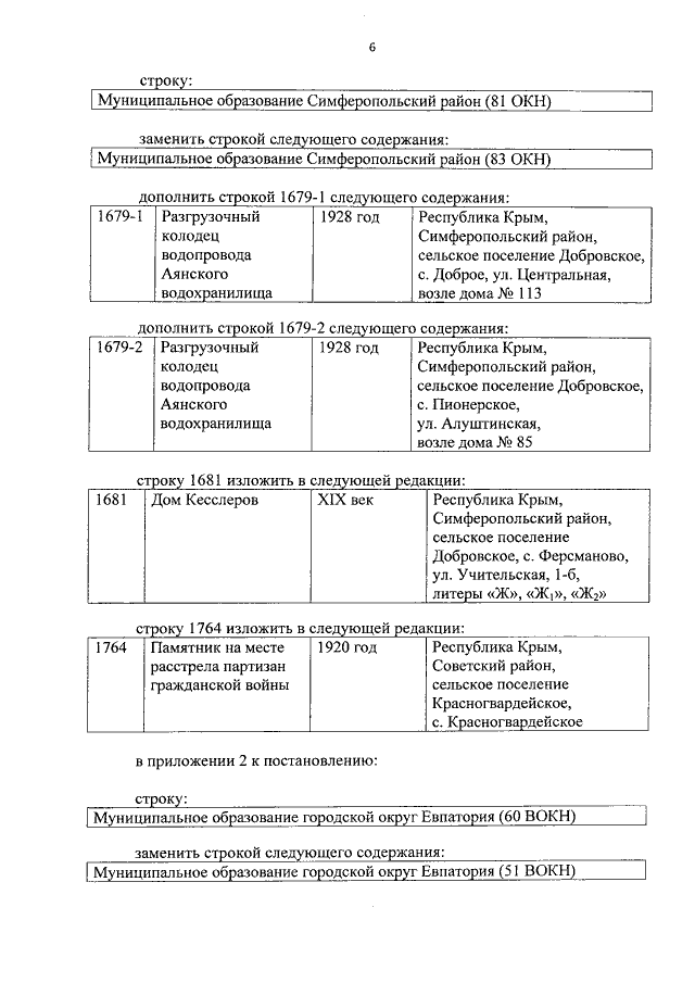
Постановление Совета министров Республики Крым от 09.07.2019 № 384
"О внесении изменений в постановление Совета министров Республики Крым от 20 декабря 2016 года № 627"
Номер опубликования: 9100201907120006
Дата опубликования: 12.07.2019
Страница №6 из 7:
Увеличить