Официальное опубликование правовых актов
ОФИЦИАЛЬНОЕ ОПУБЛИКОВАНИЕ
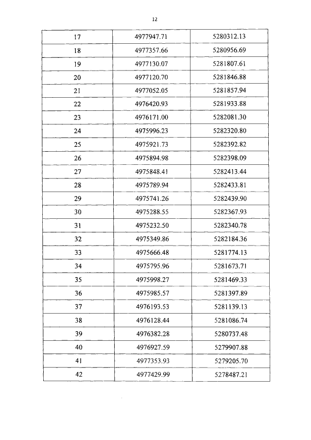
Постановление Совета министров Республики Крым от 27.06.2019 № 346
"О внесении изменений в постановление Совета министров Республики Крым от 21 июня 2016 года № 269"
Номер опубликования: 9100201907030020
Дата опубликования: 03.07.2019
Страница №12 из 29:
Увеличить