Официальное опубликование правовых актов
ОФИЦИАЛЬНОЕ ОПУБЛИКОВАНИЕ
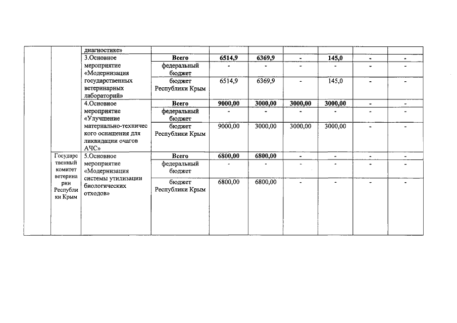
Постановление Совета министров Республики Крым от 16.04.2019 № 227
"О внесении изменений в постановление Совета министров Республики Крым от 21 октября 2016 года № 513"
Номер опубликования: 9100201904240006
Дата опубликования: 24.04.2019
Страница №46 из 55:
Увеличить