Официальное опубликование правовых актов
ОФИЦИАЛЬНОЕ ОПУБЛИКОВАНИЕ
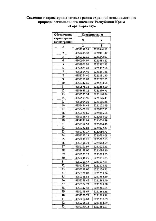
Указ Главы Республики Крым от 02.04.2019 № 167-У "Об установлении охранной зоны памятника природы регионального значения Республики Крым "Гора Кара-Тау"
Номер опубликования: 9100201904080016
Дата опубликования: 08.04.2019
Страница №3 из 7:
Увеличить