Официальное опубликование правовых актов
ОФИЦИАЛЬНОЕ ОПУБЛИКОВАНИЕ
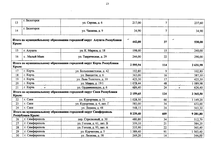
Постановление Совета министров Республики Крым от 01.04.2019 № 182
"Об утверждении Региональной адресной программы "Переселение граждан на территории Республики Крым из аварийного жилищного фонда, признанного таковым до 1 января 2017 года, в 2019-2025 годах"
Номер опубликования: 9100201904050014
Дата опубликования: 05.04.2019
Страница №23 из 38:
Увеличить