Официальное опубликование правовых актов
ОФИЦИАЛЬНОЕ ОПУБЛИКОВАНИЕ
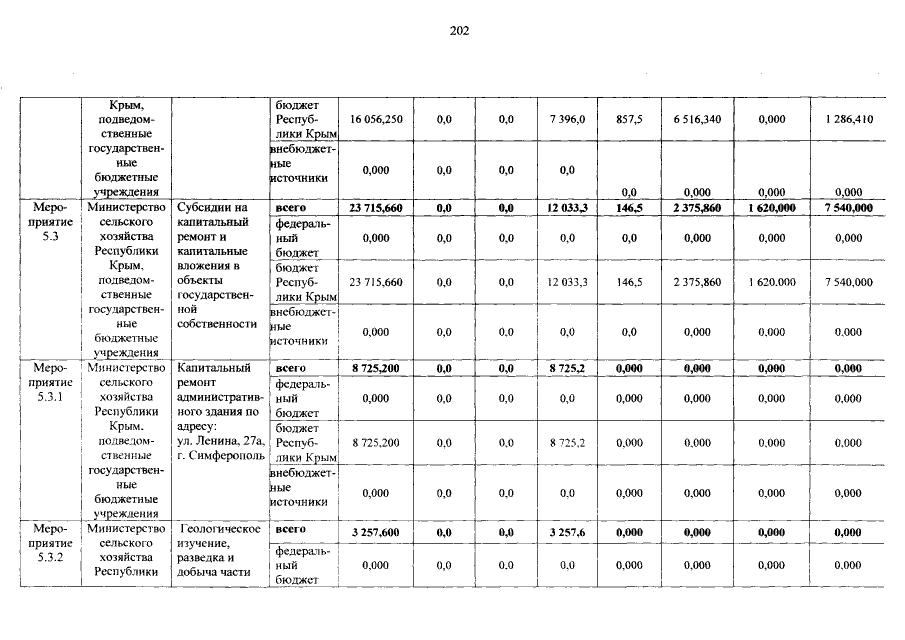
Постановление Совета министров Республики Крым от 19.03.2019 № 151
"О внесении изменений в постановление Совета министров Республики Крым от 29 октября 2014 года № 423"
Номер опубликования: 9100201903210011
Дата опубликования: 21.03.2019
Страница №202 из 228:
Увеличить