Официальное опубликование правовых актов
ОФИЦИАЛЬНОЕ ОПУБЛИКОВАНИЕ
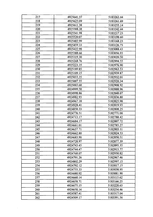
Постановление Совета министров Республики Крым от 07.12.2018 № 612 "О внесении изменений в постановление Совета министров Республики Крым от 05 апреля 2016 года № 129"
Номер опубликования: 9100201812140007
Дата опубликования: 14.12.2018
Страница №43 из 91:
Увеличить