Официальное опубликование правовых актов
ОФИЦИАЛЬНОЕ ОПУБЛИКОВАНИЕ
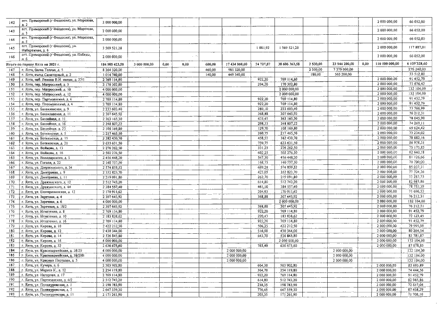
Постановление Совета министров Республики Крым от 21.11.2018 № 574 "Об утверждении краткосрочного плана на 2019 - 2021 годы по реализации Региональной программы капитального ремонта общего имущества в многоквартирных домах на территории Республики Крым на 2016 - 2045 годы, утвержденной постановлением Совета министров Республики Крым от 30 ноября 2015 года № 753"
Номер опубликования: 9100201811270001
Дата опубликования: 27.11.2018
Страница №36 из 43:
Увеличить