Официальное опубликование правовых актов
ОФИЦИАЛЬНОЕ ОПУБЛИКОВАНИЕ
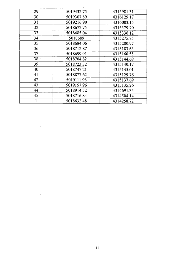
Постановление Совета министров Республики Крым от 14.11.2018 № 553 "Об утверждении положений о государственных природных заказниках регионального значения Республики Крым"
Номер опубликования: 9100201811160001
Дата опубликования: 16.11.2018
Страница №11 из 20:
Увеличить