Официальное опубликование правовых актов
ОФИЦИАЛЬНОЕ ОПУБЛИКОВАНИЕ
Постановление Совета министров Республики Крым от 28.09.2018 № 473
"О внесении изменений в постановление Совета министров Республики Крым от 30 ноября 2015 года № 753"
Номер опубликования: 9100201810040002
Дата опубликования: 04.10.2018
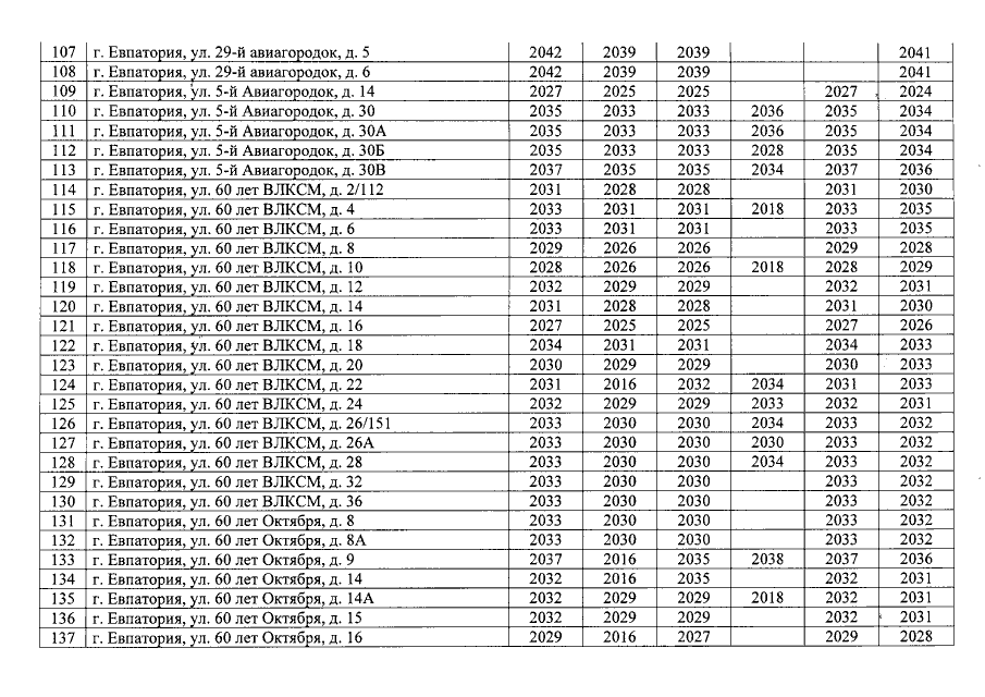
Страница №33 из 342:
Увеличить