Официальное опубликование правовых актов
ОФИЦИАЛЬНОЕ ОПУБЛИКОВАНИЕ
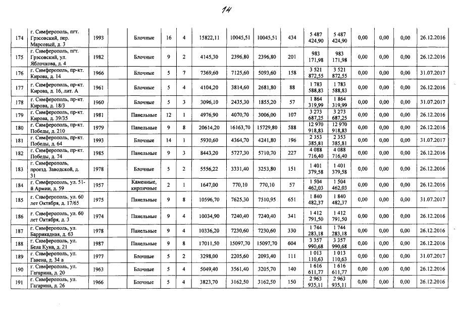
Постановление Совета министров Республики Крым от 16.05.2018 № 225
"О внесении изменений в постановление Совета министров Республики Крым от 24 июля 2015 года № 434"
Номер опубликования: 9100201805230004
Дата опубликования: 23.05.2018
Страница №14 из 54:
Увеличить