Официальное опубликование правовых актов
ОФИЦИАЛЬНОЕ ОПУБЛИКОВАНИЕ
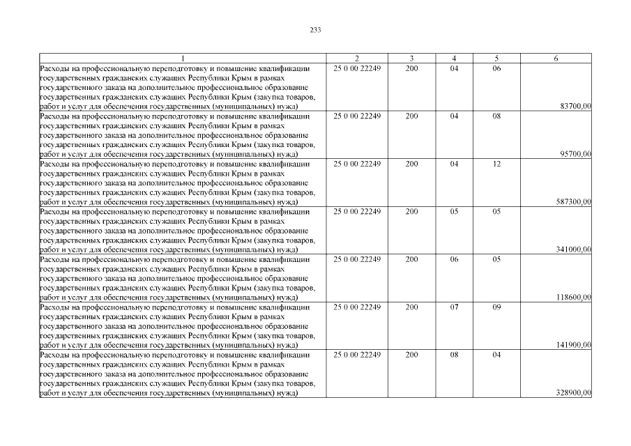
Закон Республики Крым от 30.03.2018 № 480-ЗРК/2018
"О внесении изменений в Закон Республики Крым "О бюджете Республики Крым на 2018 год и на плановый период 2019 и 2020 годов"
Номер опубликования: 9100201804030022
Дата опубликования: 03.04.2018
Страница №233 из 357:
Увеличить