Официальное опубликование правовых актов
ОФИЦИАЛЬНОЕ ОПУБЛИКОВАНИЕ
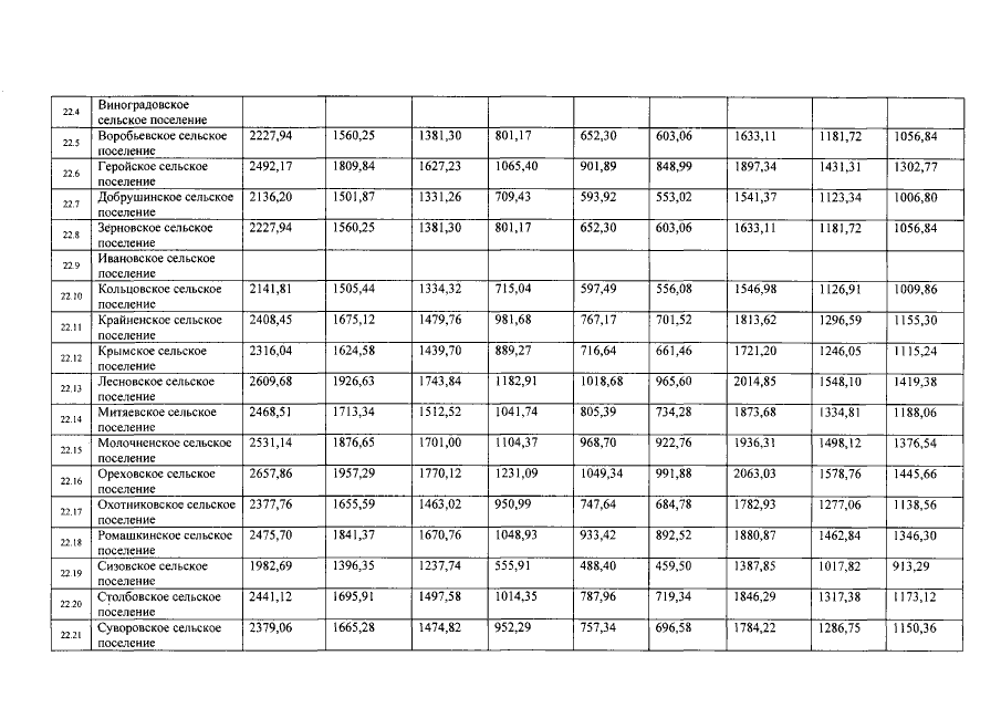
Постановление Совета министров Республики Крым от 19.03.2018 № 116
"О региональных стандартах стоимости жилищно-коммунальных услуг на одного члена семьи для семей разной численности, применяемых при определении прав граждан на получение субсидий и мер социальной поддержки на оплату жилого помещения и коммунальных услуг в Республике Крым, на 2018 год"
Номер опубликования: 9100201803210009
Дата опубликования: 21.03.2018
Страница №16 из 74:
Увеличить