Официальное опубликование правовых актов
ОФИЦИАЛЬНОЕ ОПУБЛИКОВАНИЕ
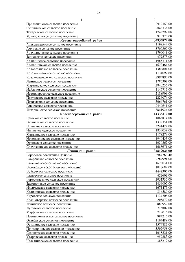
Закон Республики Крым от 22.12.2017 № 447-ЗРК/2017
"О бюджете Республики Крым на 2018 год и на плановый период 2019 и 2020 годов"
Номер опубликования: 9100201712280011
Дата опубликования: 28.12.2017
Страница №923 из 1094:
Увеличить