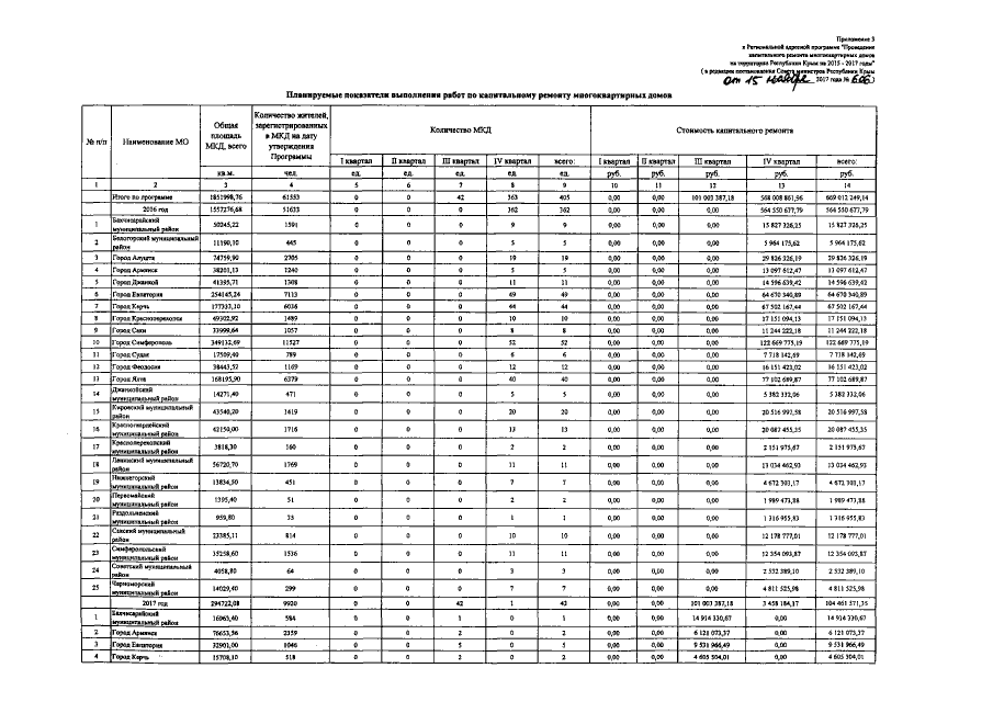
Постановление Совета министров Республики Крым от 15.11.2017 № 606
"О внесении изменений в постановление Совета министров Республики Крым от 24 июля 2015 года № 434"
"О внесении изменений в постановление Совета министров Республики Крым от 24 июля 2015 года № 434"
Номер опубликования: 9100201711210024
Дата опубликования:
21.11.2017
