Официальное опубликование правовых актов
ОФИЦИАЛЬНОЕ ОПУБЛИКОВАНИЕ
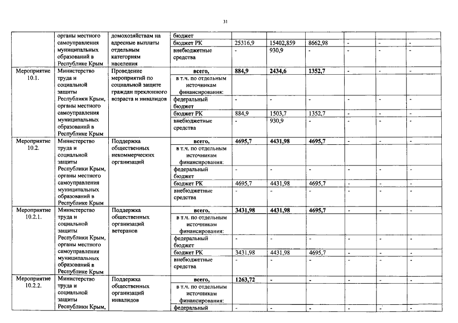
Постановление Совета министров Республики Крым от 22.09.2017 № 481
"О внесении изменений в постановление Совета министров Республики Крым от 28 декабря 2015 года № 842"
Номер опубликования: 9100201709290007
Дата опубликования: 29.09.2017
Страница №31 из 77:
Увеличить