Официальное опубликование правовых актов
ОФИЦИАЛЬНОЕ ОПУБЛИКОВАНИЕ
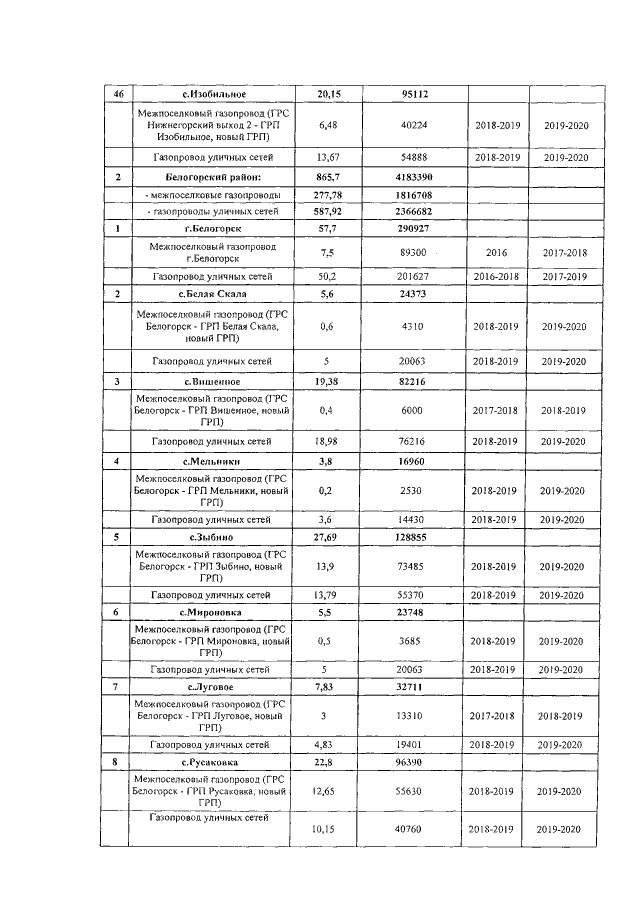
Постановление Совета министров Республики Крым от 16.05.2017 № 263
"О внесении изменений в постановление Совета министров Республики Крым от 26 апреля 2016 года № 170"
Номер опубликования: 9100201705190003
Дата опубликования: 19.05.2017
Страница №28 из 101:
Увеличить