Официальное опубликование правовых актов
ОФИЦИАЛЬНОЕ ОПУБЛИКОВАНИЕ
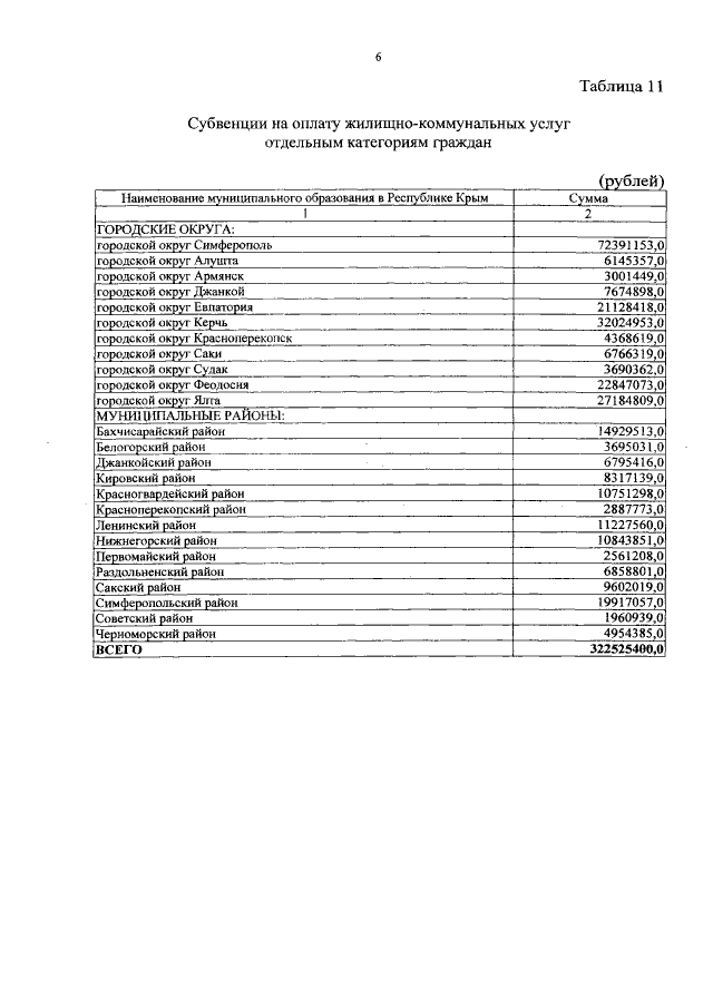
Закон Республики Крым от 20.04.2017 № 375-ЗРК/2017
"О внесении изменений в Закон Республики Крым "О бюджете Республики Крым на 2017 год"
Номер опубликования: 9100201704280003
Дата опубликования: 28.04.2017
Страница №347 из 365:
Увеличить