Официальное опубликование правовых актов
ОФИЦИАЛЬНОЕ ОПУБЛИКОВАНИЕ
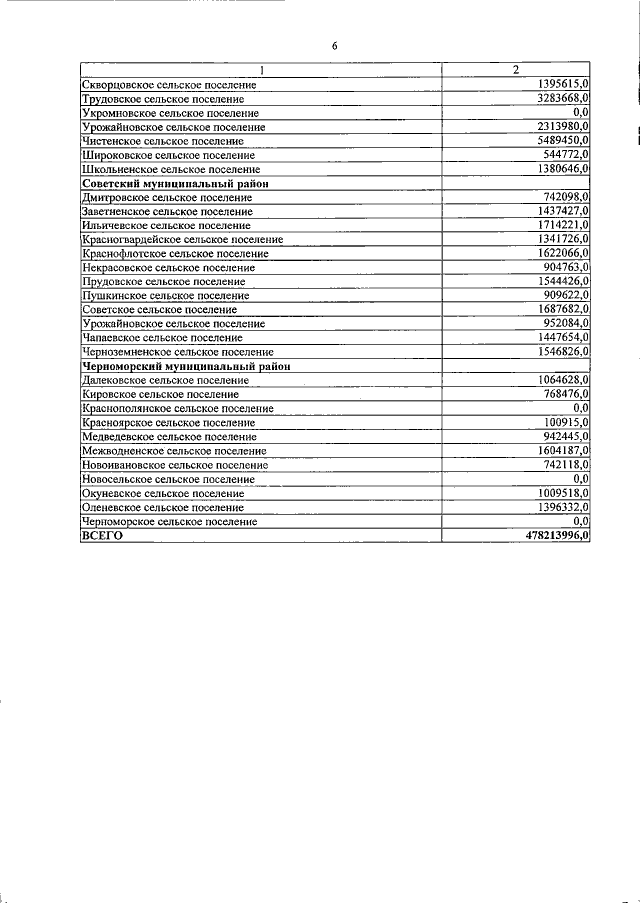
Закон Республики Крым от 29.12.2015 № 192-ЗРК/2015
"О бюджете Республики Крым на 2016 год"
Номер опубликования: 9100201601040008
Дата опубликования: 04.01.2016
Страница №319 из 361:
Увеличить