Официальное опубликование правовых актов
ОФИЦИАЛЬНОЕ ОПУБЛИКОВАНИЕ
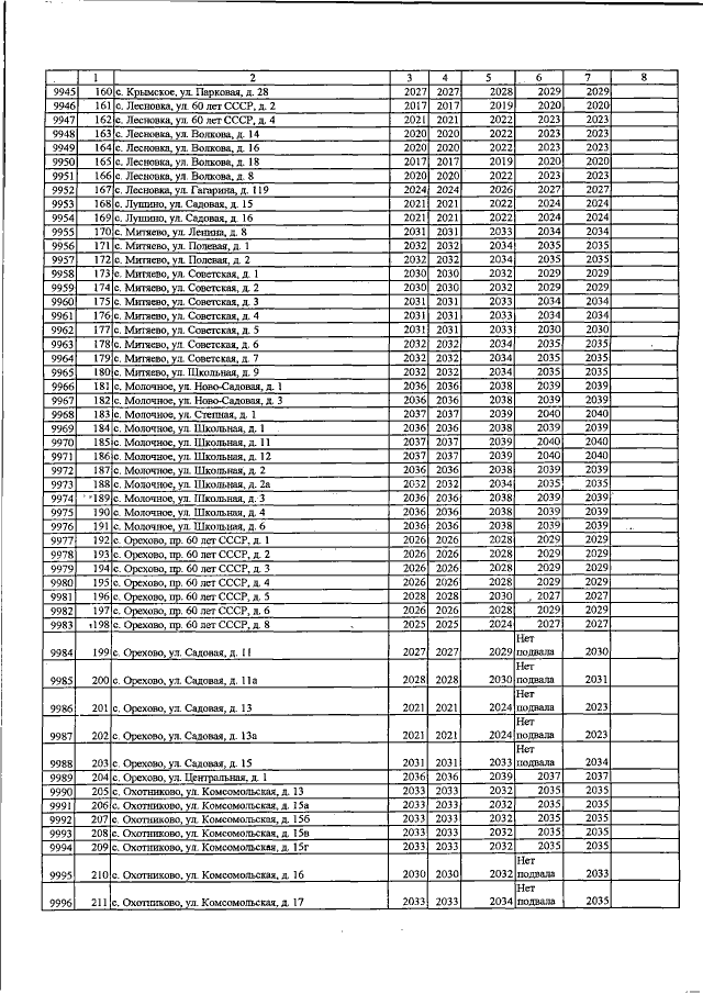
Постановление Совета министров Республики Крым от 30.11.2015 № 753
"Об утверждении Региональной программы капитального ремонта общего имущества в многоквартирных домах на территории Республики Крым на 2016-2045 годы"
Номер опубликования: 9100201512030001
Дата опубликования: 03.12.2015
Страница №222 из 238:
Увеличить