Официальное опубликование правовых актов
ОФИЦИАЛЬНОЕ ОПУБЛИКОВАНИЕ
Постановление Совета министров Республики Крым от 24.07.2015 № 434
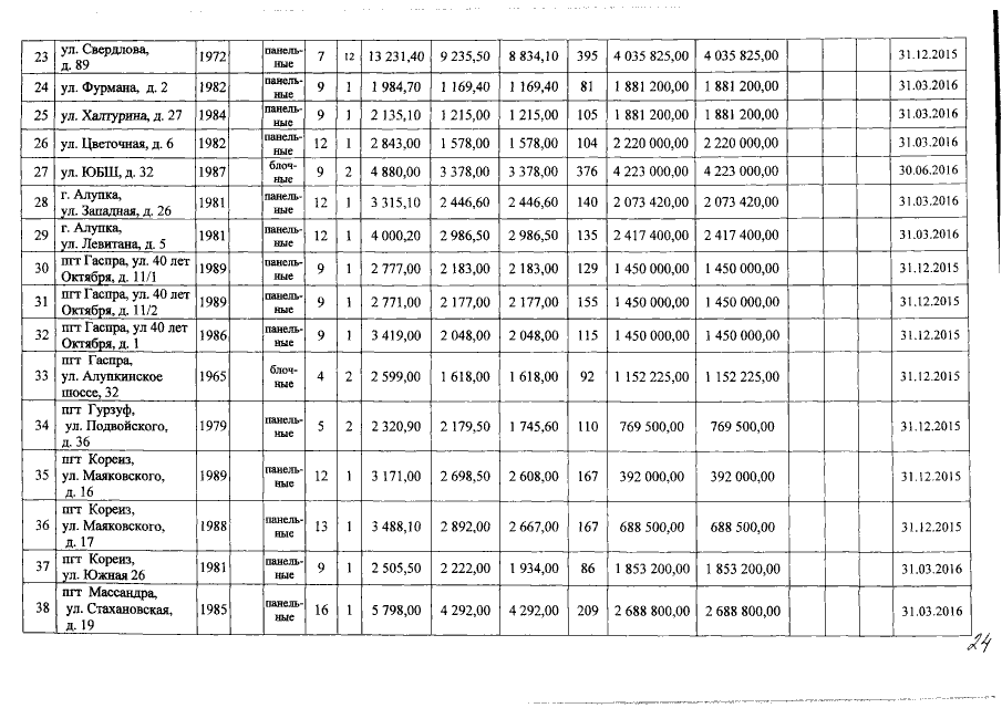
"О Региональной адресной программе "Проведение капитального ремонта многоквартирных домов на территории Республики Крым на 2015 – 2016 годы"
Номер опубликования: 9100201507280003
Дата опубликования: 28.07.2015
Страница №25 из 60:
Увеличить