Официальное опубликование правовых актов
ОФИЦИАЛЬНОЕ ОПУБЛИКОВАНИЕ
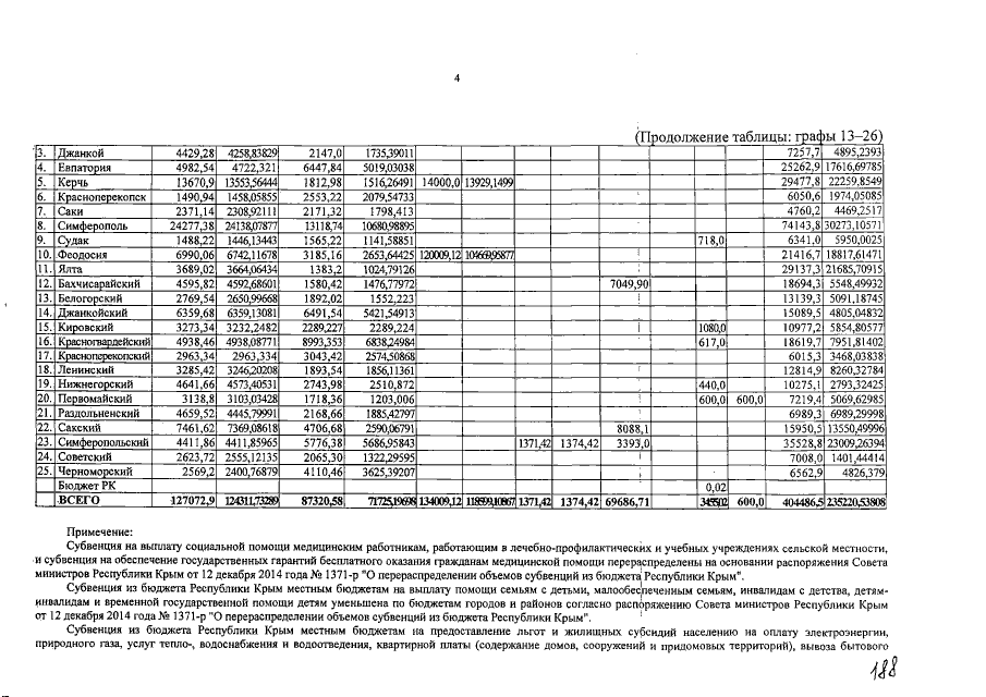
Закон Республики Крым от 06.07.2015 № 136-ЗРК/2015
"Об исполнении бюджета Республики Крым за 2014 год"
Номер опубликования: 9100201507080004
Дата опубликования: 08.07.2015
Страница №188 из 194:
Увеличить