Официальное опубликование правовых актов
ОФИЦИАЛЬНОЕ ОПУБЛИКОВАНИЕ
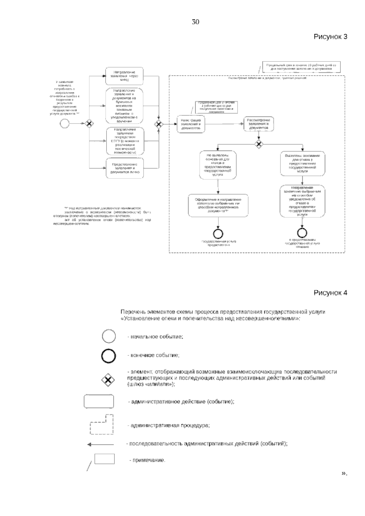
Приказ Департамента образования Ямало-Ненецкого автономного округа от 30.10.2025 № 821
"О внесении изменения в приказ департамента образования Ямало-Ненецкого автономного округа от 14 сентября 2020 года № 608"
(Зарегистрирован 31.10.2025 № 361)
Номер опубликования: 8901202510310014
Дата опубликования: 31.10.2025
Страница №30 из 30:
Увеличить