Официальное опубликование правовых актов
ОФИЦИАЛЬНОЕ ОПУБЛИКОВАНИЕ
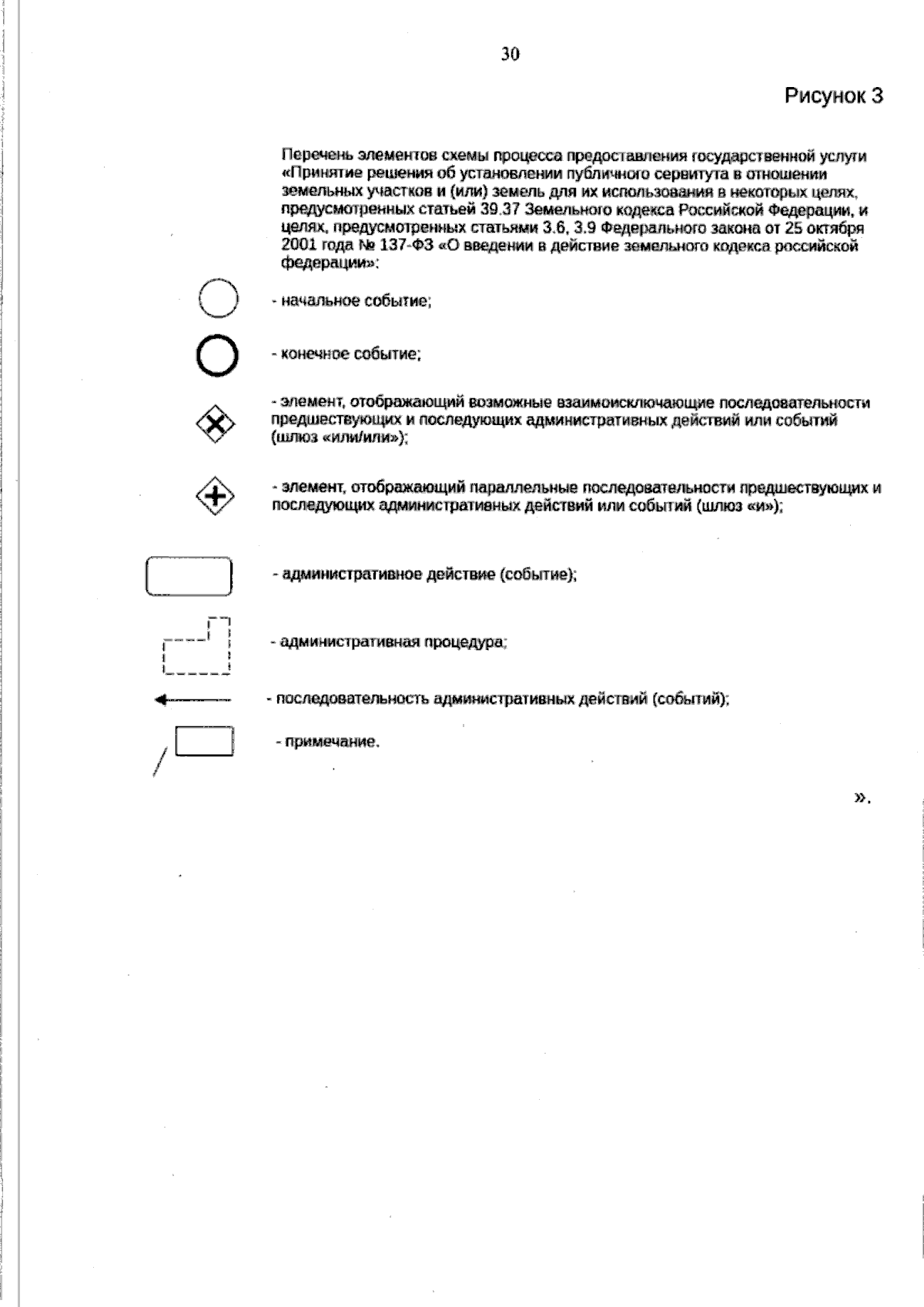
Приказ Департамента имущественных отношений Ямало-Ненецкого автономного округа от 10.10.2025 № 401
"О внесении изменения в приказ департамента имущественных отношений Ямало-Ненецкого автономного округа от 01 февраля 2019 года № 47"
(Зарегистрирован 13.10.2025 № 316)
Номер опубликования: 8901202510150002
Дата опубликования: 15.10.2025
Страница №31 из 31:
Увеличить