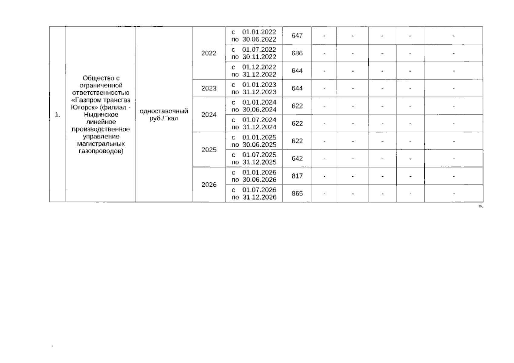
Приказ Департамента тарифной политики, энергетики и жилищно-коммунального комплекса Ямало-Ненецкого автономного округа от 22.10.2024 № 355-т
"О внесении изменения в приложение № 1 к приказу департамента тарифной политики, энергетики и жилищно-коммунального комплекса Ямало-Ненецкого автономного округа от 13 декабря 2021 года № 304-т"
(Зарегистрирован 24.10.2024 № 323)
"О внесении изменения в приложение № 1 к приказу департамента тарифной политики, энергетики и жилищно-коммунального комплекса Ямало-Ненецкого автономного округа от 13 декабря 2021 года № 304-т"
(Зарегистрирован 24.10.2024 № 323)
Номер опубликования: 8901202410250008
Дата опубликования:
25.10.2024
