Официальное опубликование правовых актов
ОФИЦИАЛЬНОЕ ОПУБЛИКОВАНИЕ
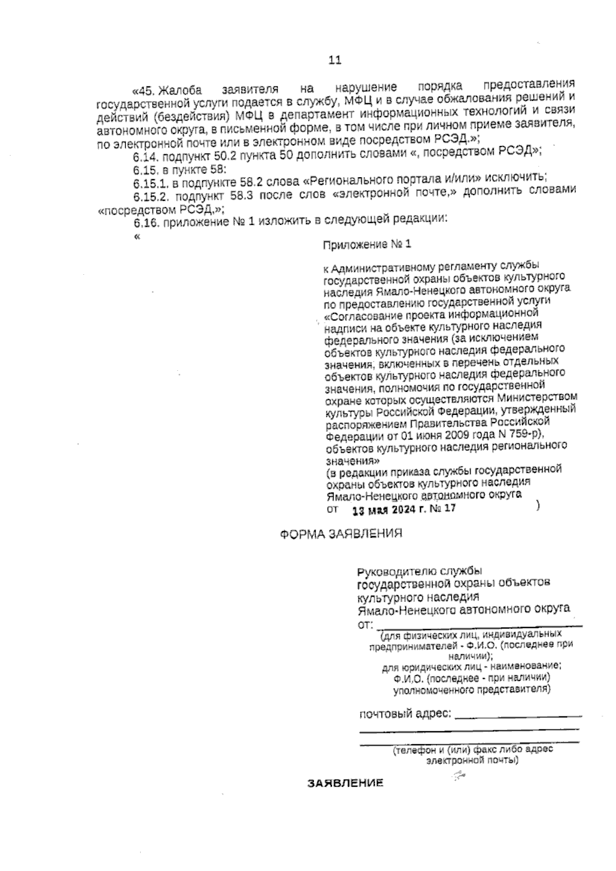
Приказ Службы государственной охраны объектов культурного наследия Ямало-Ненецкого автономного округа от 13.05.2024 № 17
"О внесении изменений в некоторые приказы службы государственной охраны объектов культурного наследия Ямало-Ненецкого автономного округа по вопросам предоставления государственных услуг"
(Зарегистрирован 14.05.2024 № 122)
Номер опубликования: 8901202405140004
Дата опубликования: 14.05.2024
Страница №12 из 13:
Увеличить