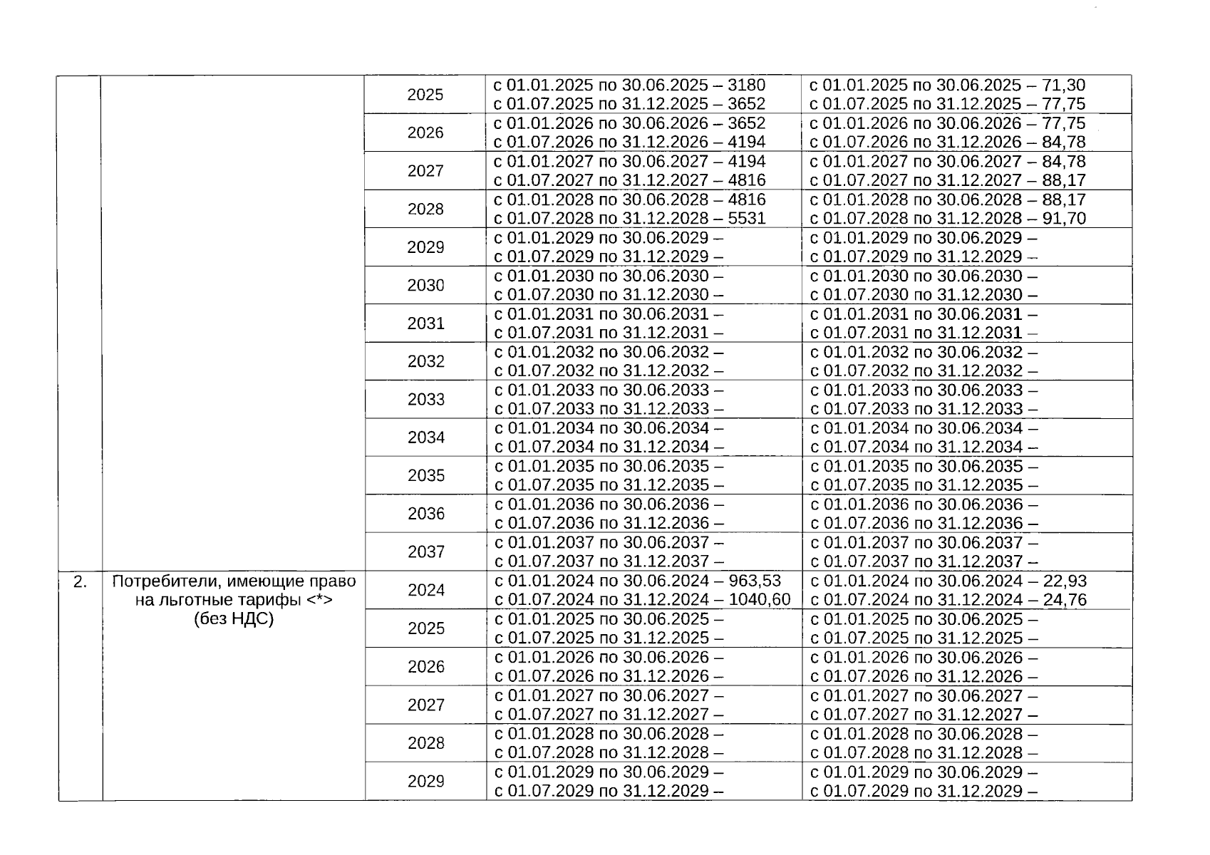
Приказ Департамента тарифной политики, энергетики и жилищно-коммунального комплекса Ямало-Ненецкого автономного округа от 19.12.2023 № 648-т
"Об установлении акционерному обществу «Энерго-Газ-Ноябрьск» тарифов на питьевую и техническую воду и тарифов на горячую воду для расчетов с потребителями муниципального образования город Ноябрьск и долгосрочных параметров регулирования тарифов на 2024 - 2037 годы"
(Зарегистрирован 22.12.2023 № 664)
"Об установлении акционерному обществу «Энерго-Газ-Ноябрьск» тарифов на питьевую и техническую воду и тарифов на горячую воду для расчетов с потребителями муниципального образования город Ноябрьск и долгосрочных параметров регулирования тарифов на 2024 - 2037 годы"
(Зарегистрирован 22.12.2023 № 664)
Номер опубликования: 8901202312260004
Дата опубликования:
26.12.2023
