Официальное опубликование правовых актов
ОФИЦИАЛЬНОЕ ОПУБЛИКОВАНИЕ
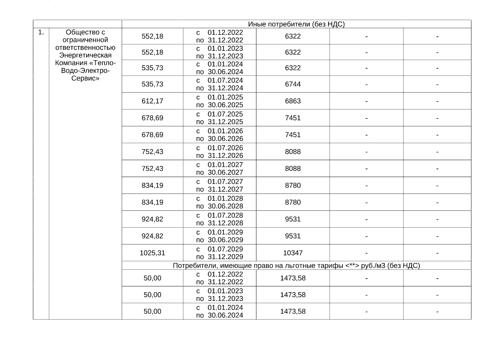
Приказ Департамента тарифной политики, энергетики и жилищно-коммунального комплекса Ямало-Ненецкого автономного округа от 19.12.2023 № 625-т
"О внесении изменения в приложение № 1 к приказу департамента тарифной политики, энергетики и жилищно-коммунального комплекса Ямало-Ненецкого автономного округа от 25 ноября 2022 года № 596-т"
(Зарегистрирован 22.12.2023 № 693)
Номер опубликования: 8901202312250013
Дата опубликования: 25.12.2023
Страница №3 из 5:
Увеличить