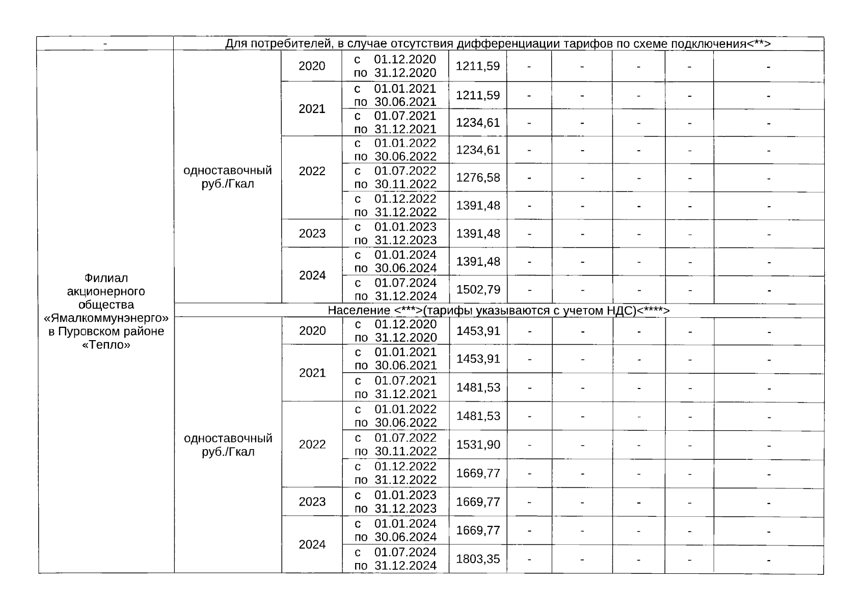
Приказ Департамента тарифной политики, энергетики и жилищно-коммунального комплекса Ямало-Ненецкого автономного округа от 19.12.2023 № 614-т
"О внесении изменения в приложения №№ 1, 2 к приказу департамента тарифной политики, энергетики и жилищно-коммунального комплекса Ямало-Ненецкого автономного округа от 29 ноября 2020 года № 154-т"
(Зарегистрирован 21.12.2023 № 634)
"О внесении изменения в приложения №№ 1, 2 к приказу департамента тарифной политики, энергетики и жилищно-коммунального комплекса Ямало-Ненецкого автономного округа от 29 ноября 2020 года № 154-т"
(Зарегистрирован 21.12.2023 № 634)
Номер опубликования: 8901202312230068
Дата опубликования:
23.12.2023
