Официальное опубликование правовых актов
ОФИЦИАЛЬНОЕ ОПУБЛИКОВАНИЕ
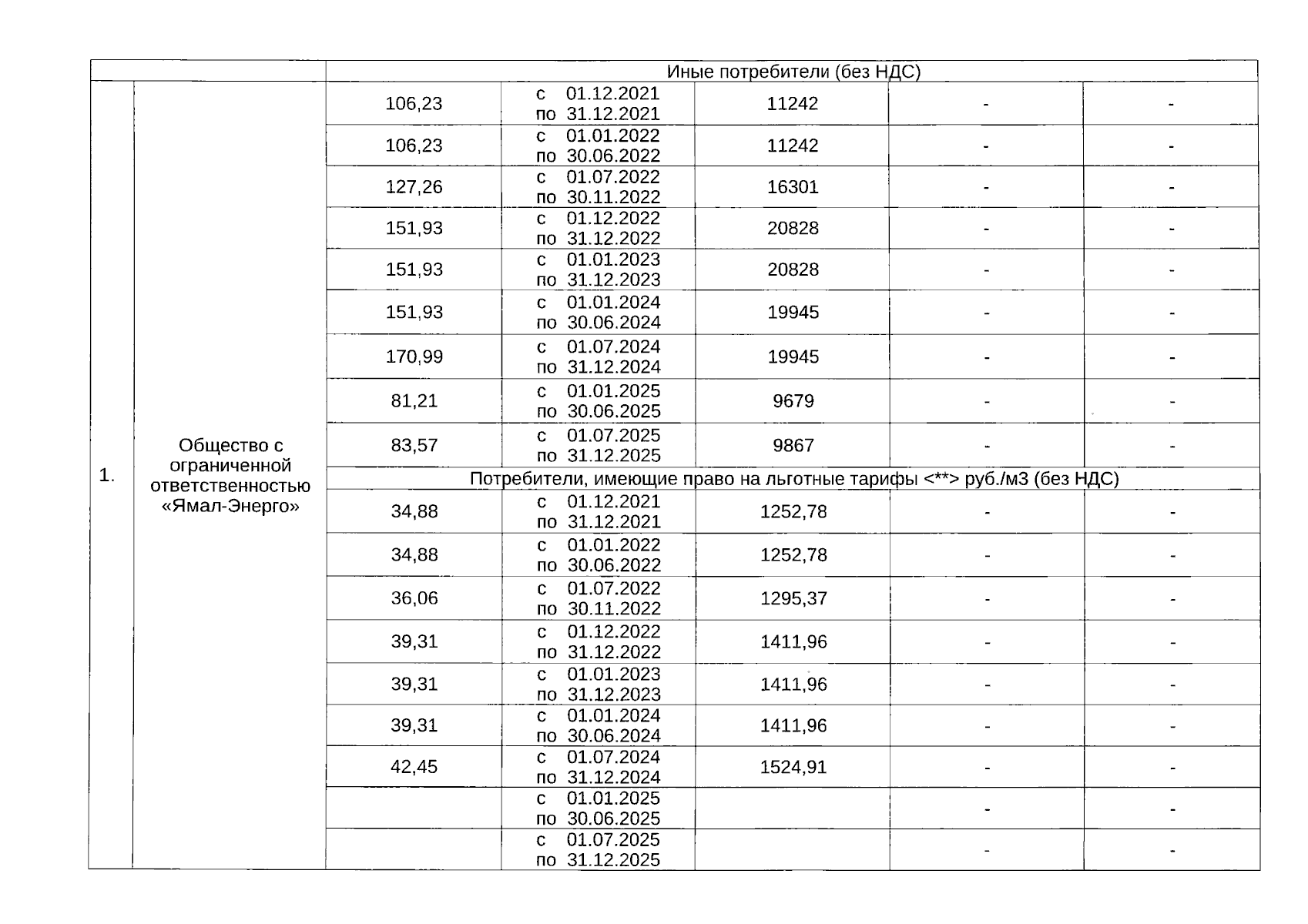
Приказ Департамента тарифной политики, энергетики и жилищно-коммунального комплекса Ямало-Ненецкого автономного округа от 18.12.2023 № 505-т
"О внесении изменения в приложение к приказу департамента тарифной политики, энергетики и жилищно-коммунального комплекса Ямало-Ненецкого автономного округа от 30 ноября 2021 года № 246-т"
(Зарегистрирован 20.12.2023 № 576)
Номер опубликования: 8901202312230054
Дата опубликования: 23.12.2023
Страница №3 из 4:
Увеличить