Официальное опубликование правовых актов
ОФИЦИАЛЬНОЕ ОПУБЛИКОВАНИЕ
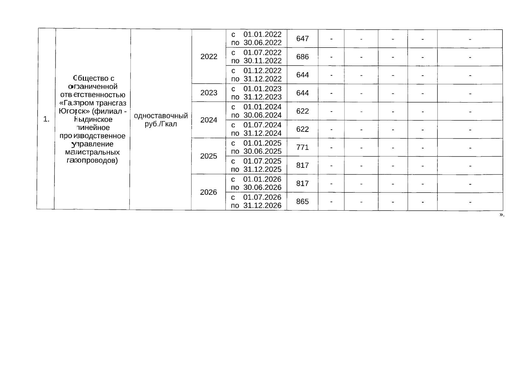
Приказ Департамента тарифной политики, энергетики и жилищно-коммунального комплекса Ямало-Ненецкого автономного округа от 30.11.2023 № 431-т
"О внесении изменения в приложение № 1 к приказу департамента тарифной политики, энергетики и жилищно-коммунального комплекса Ямало-Ненецкого автономного округа от 13 декабря 2021 года № 304-т"
(Зарегистрирован 04.12.2023 № 467)
Номер опубликования: 8901202312040018
Дата опубликования: 04.12.2023
Страница №3 из 3:
Увеличить