Официальное опубликование правовых актов
ОФИЦИАЛЬНОЕ ОПУБЛИКОВАНИЕ
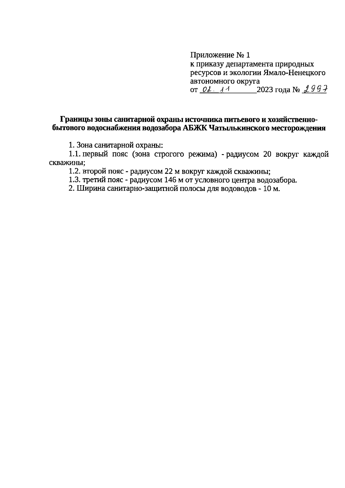
Приказ Департамента природных ресурсов и экологии Ямало-Ненецкого автономного округа от 02.11.2023 № 2997
"Об установлении зоны санитарной охраны источника питьевого и хозяйственно-бытового водоснабжения на территории Ямало-Ненецкого автономного округа"
(Зарегистрирован 03.11.2023 № 391)
Номер опубликования: 8901202311040003
Дата опубликования: 04.11.2023
Страница №2 из 4:
Увеличить