Официальное опубликование правовых актов
ОФИЦИАЛЬНОЕ ОПУБЛИКОВАНИЕ
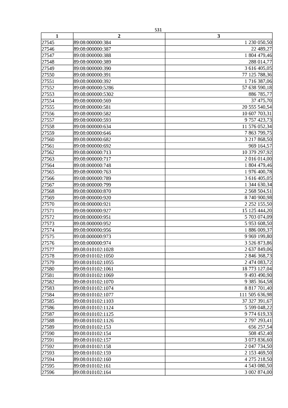
Приказ Департамента имущественных отношений Ямало-Ненецкого автономного округа от 30.10.2023 № 18-О
"Об утверждении результатов определения кадастровой стоимости объектов недвижимости, расположенных на территории Ямало-Ненецкого автономного округа"
(Зарегистрирован 31.10.2023 № 386)
Номер опубликования: 8901202311020001
Дата опубликования: 02.11.2023
Страница №532 из 8003:
Увеличить