Официальное опубликование правовых актов
ОФИЦИАЛЬНОЕ ОПУБЛИКОВАНИЕ
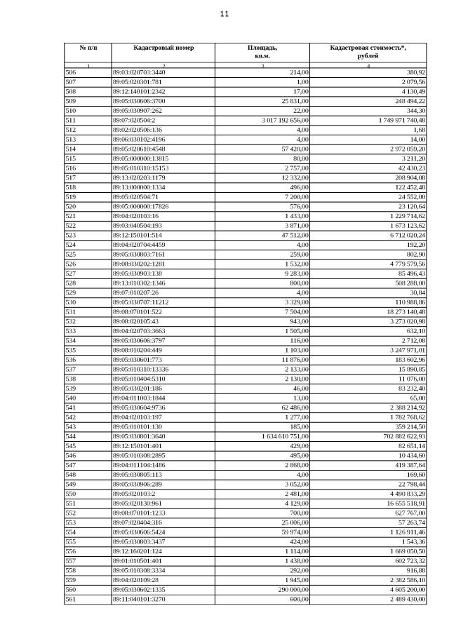
Приказ Департамента имущественных отношений Ямало-Ненецкого автономного округа от 02.11.2022 № 12-О
"Об утверждении результатов определения кадастровой стоимости земельных участков, расположенных на территории Ямало-Ненецкого автономного округа"
(Зарегистрирован 07.11.2022 № 415)
Номер опубликования: 8901202211100001
Дата опубликования: 10.11.2022
Страница №11 из 3767:
Увеличить