Официальное опубликование правовых актов
ОФИЦИАЛЬНОЕ ОПУБЛИКОВАНИЕ
Приказ Департамента строительства и жилищной политики Ямало-Ненецкого автономного округа от 12.09.2022 № 518-ОД/Ж
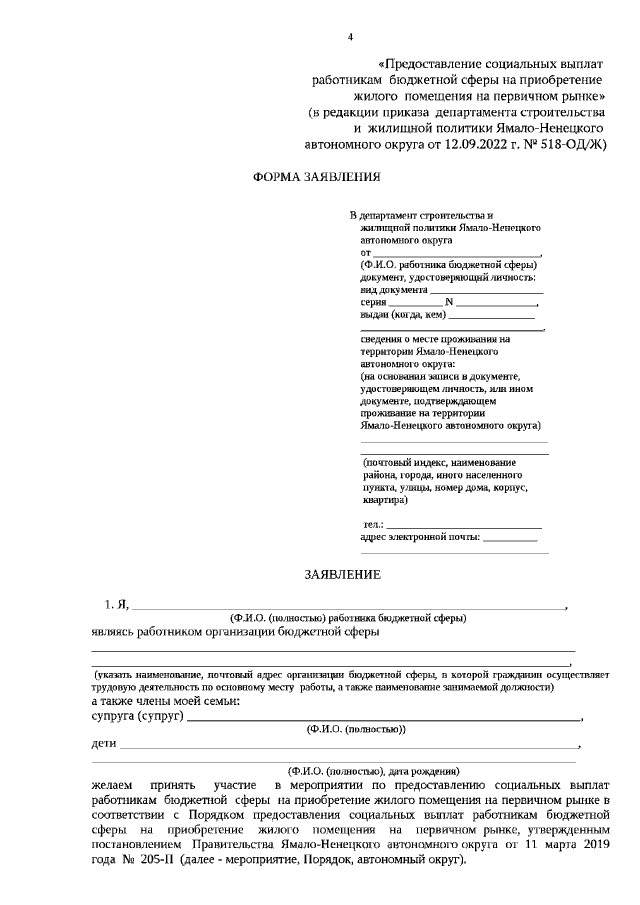
"О внесении изменений в Административный регламент департамента строительства и жилищной политики Ямало-Ненецкого автономного округа по предоставлению государственной услуги "Предоставление социальных выплат работникам бюджетной сферы на приобретение жилого помещения на первичном рынке"
(Зарегистрирован 14.09.2022 № 350)
Номер опубликования: 8901202209140001
Дата опубликования: 14.09.2022
Страница №4 из 11:
Увеличить