Официальное опубликование правовых актов
ОФИЦИАЛЬНОЕ ОПУБЛИКОВАНИЕ
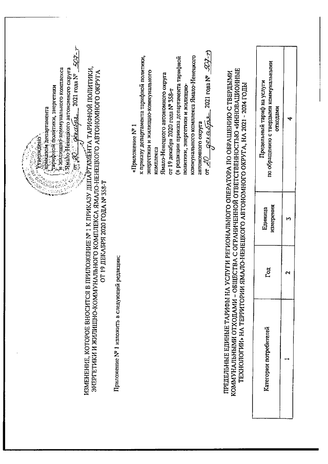
Приказ Департамента тарифной политики, энергетики и жилищно-коммунального комплекса Ямало-Ненецкого автономного округа от 20.12.2021 № 507-т
"О внесении изменения в приложение № 1 к приказу департамента тарифной политики, энергетики и жилищно-коммунального комплекса Ямало-Ненецкого автономного округа от 19 декабря 2020 года № 358-т"
(Зарегистрирован 22.12.2021 № 719)
Номер опубликования: 8901202112220030
Дата опубликования: 22.12.2021
Страница №2 из 5:
Увеличить