Официальное опубликование правовых актов
ОФИЦИАЛЬНОЕ ОПУБЛИКОВАНИЕ
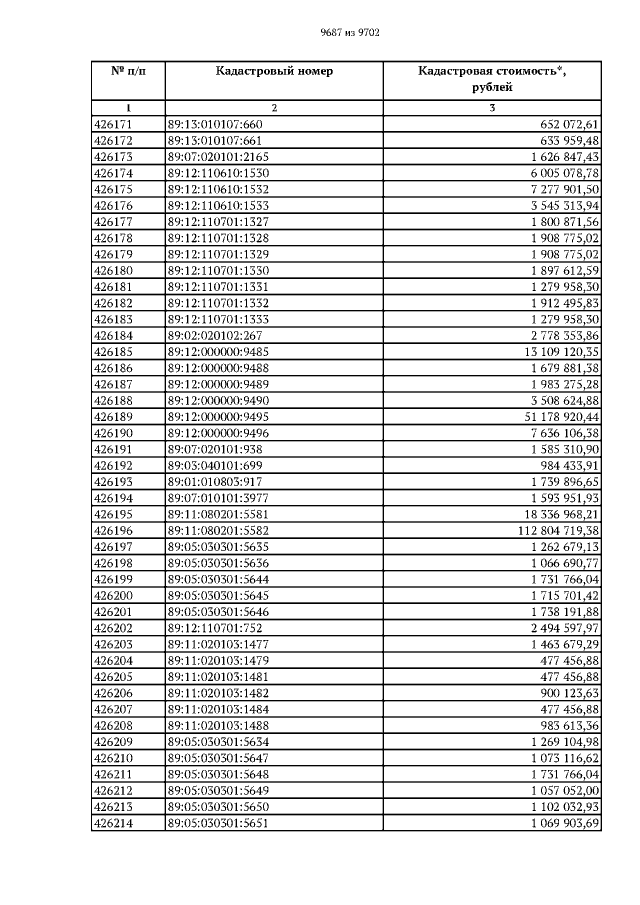
Приказ Департамента имущественных отношений Ямало-Ненецкого автономного округа от 11.11.2021 № 6-О
"Об утверждении результатов определения кадастровой стоимости объектов недвижимости (за исключением земельных участков), расположенных на территории Ямало-Ненецкого автономного округа"
(Зарегистрирован 11.11.2021 № 460)
Номер опубликования: 8901202111190001
Дата опубликования: 19.11.2021
Страница №9688 из 9703:
Увеличить