Официальное опубликование правовых актов
ОФИЦИАЛЬНОЕ ОПУБЛИКОВАНИЕ
Приказ Департамента природно-ресурсного регулирования, лесных отношений и развития нефтегазового комплекса Ямало-Ненецкого автономного округа от 21.09.2021 № 3136
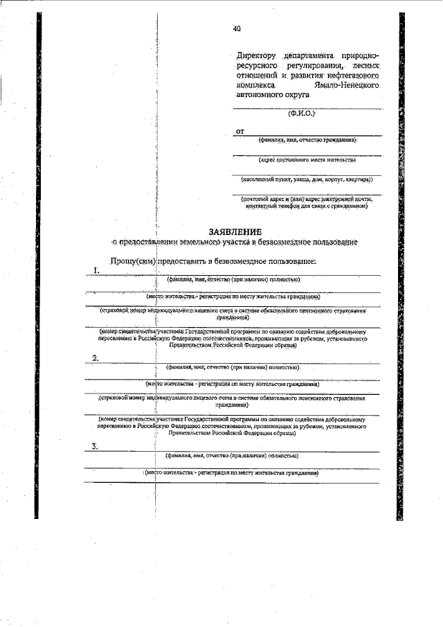
"Об утверждении Административного регламента департамента природно-ресурсного регулирования, лесных отношений и развития нефтегазового комплекса Ямало-Ненецкого автономного округа по предоставлению государственной услуги "Предоставление в безвозмездное пользование земельного участка из состава земель лесного фонда в соответствии с Федеральным законом от 01 мая 2016 года № 119-ФЗ "Об особенностях предоставления гражданам земельных участков, находящихся в государственной или муниципальной собственности и расположенных в Арктической зоне Российской Федерации и на других территориях Севера, Сибири и Дальнего Востока Российской Федерации, и о внесении изменений в отдельные законодательные акты Российской Федерации"
(Зарегистрирован 29.09.2021 № 409)
Номер опубликования: 8901202109300002
Дата опубликования: 30.09.2021
Страница №40 из 43:
Увеличить