Официальное опубликование правовых актов
ОФИЦИАЛЬНОЕ ОПУБЛИКОВАНИЕ
Приказ Департамента строительства и жилищной политики Ямало-Ненецкого автономного округа от 04.03.2021 № 30
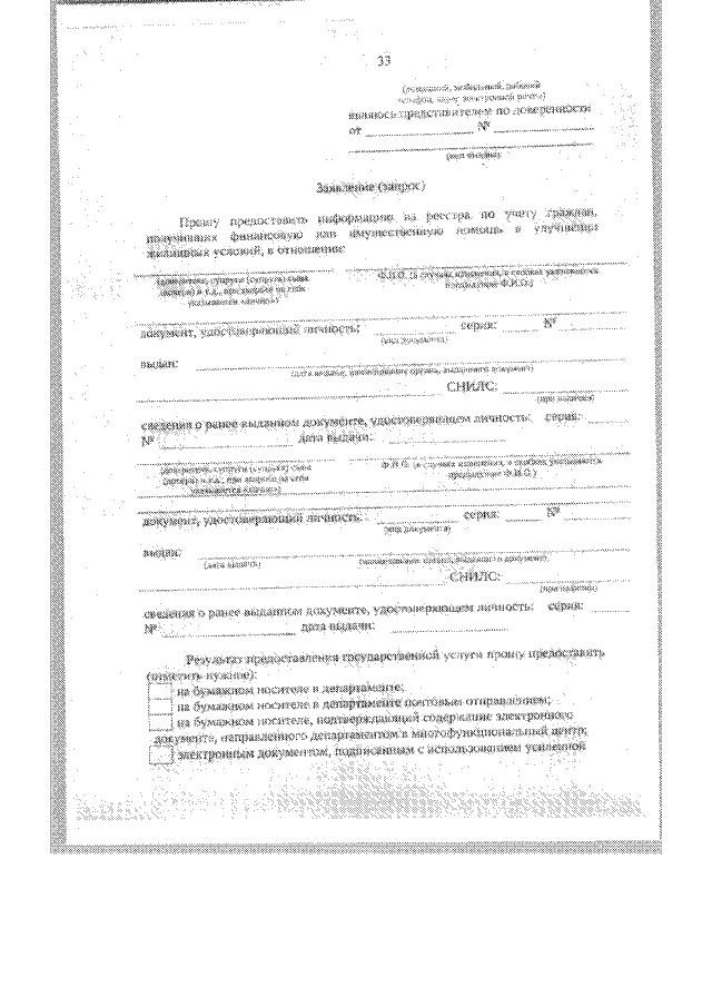
"Об утверждении Административного регламента департамента строительства и жилищной политики Ямало-Ненецкого автономного округа по предоставлению государственной услуги "Предоставление информации из реестра по учету граждан, получивших финансовую или имущественную помощь в улучшении жилищных условий"
(Зарегистрирован 09.03.2021 № 83)
Номер опубликования: 8901202103120001
Дата опубликования: 12.03.2021
Страница №33 из 35:
Увеличить