Официальное опубликование правовых актов
ОФИЦИАЛЬНОЕ ОПУБЛИКОВАНИЕ
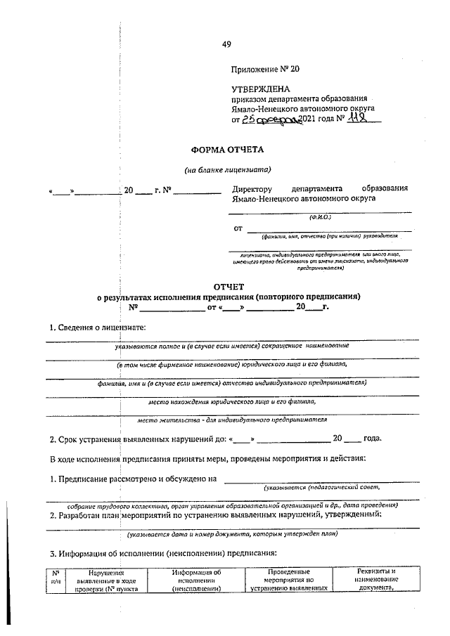
Приказ Департамента образования Ямало-Ненецкого автономного округа от 25.02.2021 № 118
"Об утверждении форм документов, используемых департаментом образования Ямало-Ненецкого автономного округа при лицензировании образовательной деятельности"
(Зарегистрирован 26.02.2021 № 66)
Номер опубликования: 8901202102260001
Дата опубликования: 26.02.2021
Страница №49 из 52:
Увеличить