Официальное опубликование правовых актов
ОФИЦИАЛЬНОЕ ОПУБЛИКОВАНИЕ
Приказ Службы государственной охраны объектов культурного наследия Ямало-Ненецкого автономного округа от 20.02.2021 № 20
"Об утверждении границ территории объекта культурного наследия регионального значения достопримечательное место "Территория села Обдорского XVIII - XIX вв.", требований к осуществлению деятельности и градостроительным регламентам в границах территории достопримечательного места и признании утратившими силу некоторых приказов департамента культуры Ямало-Ненецкого автономного округа"
(Зарегистрирован 25.02.2021 № 63)
Номер опубликования: 8901202102250003
Дата опубликования: 25.02.2021
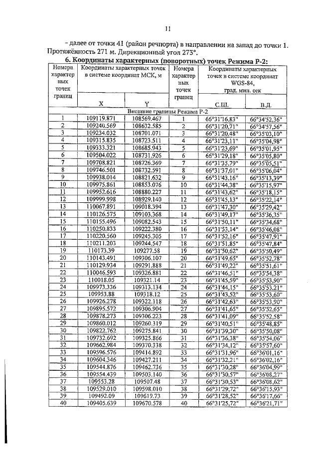
Страница №15 из 17:
Увеличить