Официальное опубликование правовых актов
ОФИЦИАЛЬНОЕ ОПУБЛИКОВАНИЕ
Приказ Департамента образования Ямало-Ненецкого автономного округа от 27.11.2020 № 770
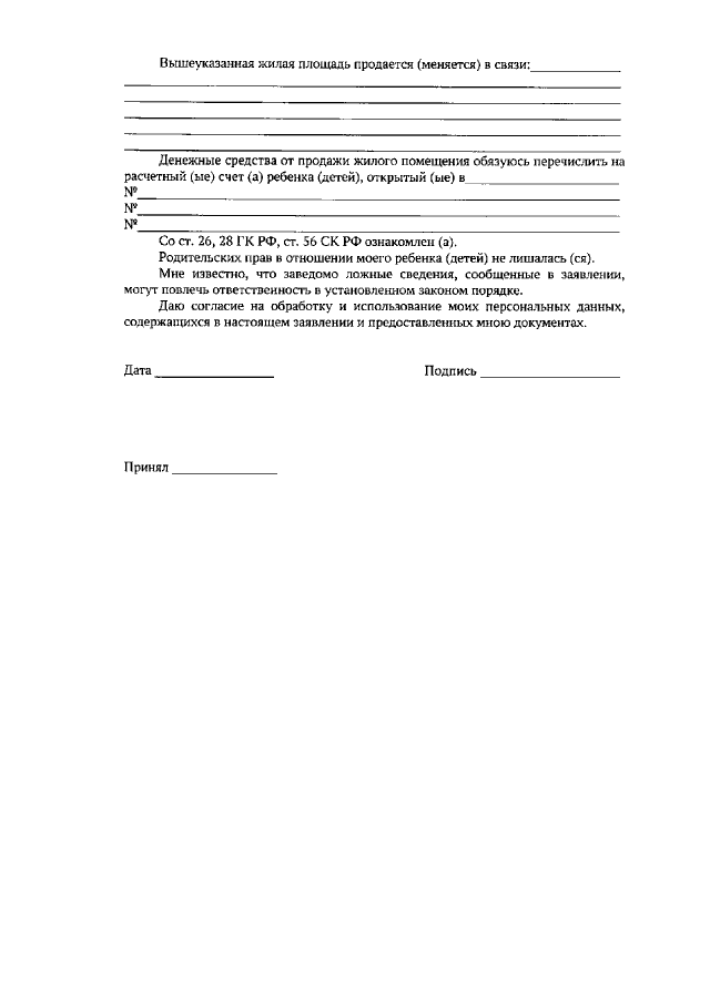
"Об утверждении Административного регламента департамента образования Ямало-Ненецкого автономного округа по предоставлению государственной услуги "Выдача в соответствии с федеральным законодательством разрешений на совершение сделок с имуществом подопечных (выдача разрешения на безвозмездное пользование имуществом подопечного в интересах опекуна; выдача предварительного разрешения органа опеки и попечительства, затрагивающего осуществление имущественных прав подопечного)"
(Зарегистрирован 30.11.2020 № 537)
Номер опубликования: 8901202012010029
Дата опубликования: 01.12.2020
Страница №49 из 57:
Увеличить