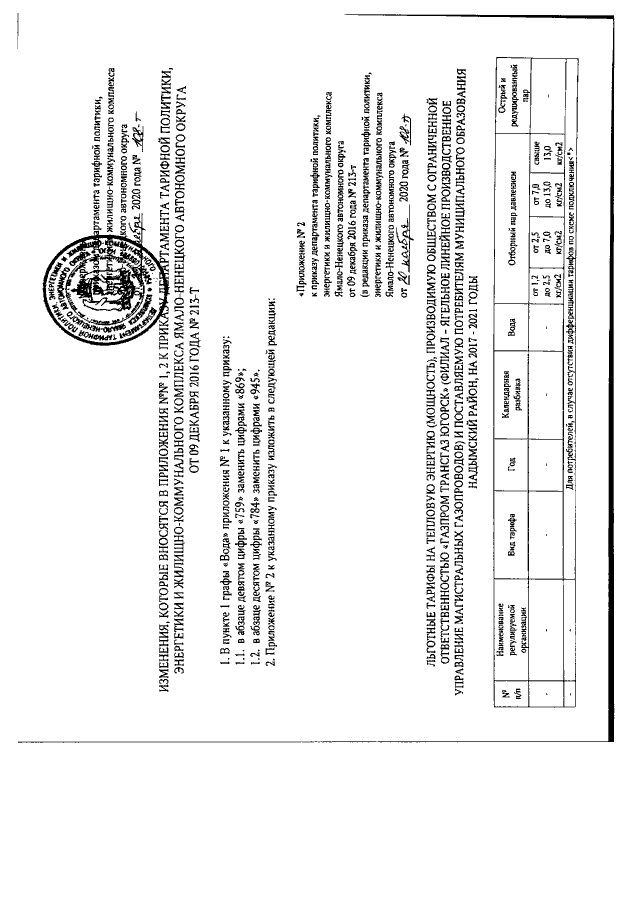
Приказ Департамента тарифной политики, энергетики и жилищно-коммунального комплекса Ямало-Ненецкого автономного округа от 20.11.2020 № 108-т
"О внесении изменений в приложения №№ 1, 2 к приказу департамента тарифной политики, энергетики и жилищно-коммунального комплекса Ямало-Ненецкого автономного округа от 09 декабря 2016 года № 213-т"
(Зарегистрирован 24.11.2020 № 476)
"О внесении изменений в приложения №№ 1, 2 к приказу департамента тарифной политики, энергетики и жилищно-коммунального комплекса Ямало-Ненецкого автономного округа от 09 декабря 2016 года № 213-т"
(Зарегистрирован 24.11.2020 № 476)
Номер опубликования: 8901202011240007
Дата опубликования:
24.11.2020
