Официальное опубликование правовых актов
ОФИЦИАЛЬНОЕ ОПУБЛИКОВАНИЕ
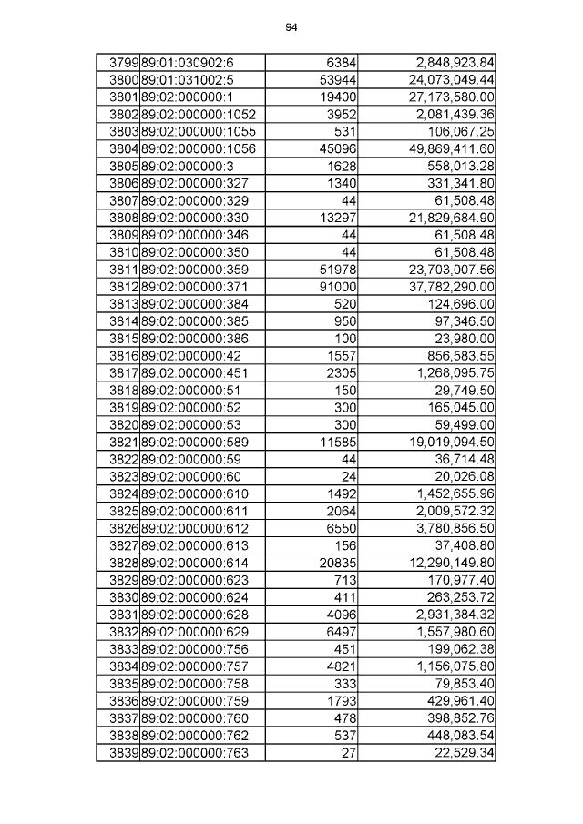
Приказ Департамента имущественных отношений Ямало-Ненецкого автономного округа от 01.11.2019 № 3-О
"Об утверждении результатов определения государственной кадастровой оценки земельных участков категории земель населенных пунктов и земель водного фонда на территории Ямало-Ненецкого автономного округа"
(Зарегистрирован 06.11.2019 № 436)
Номер опубликования: 8901201911060003
Дата опубликования: 06.11.2019
Страница №95 из 1815:
Увеличить