Официальное опубликование правовых актов
ОФИЦИАЛЬНОЕ ОПУБЛИКОВАНИЕ
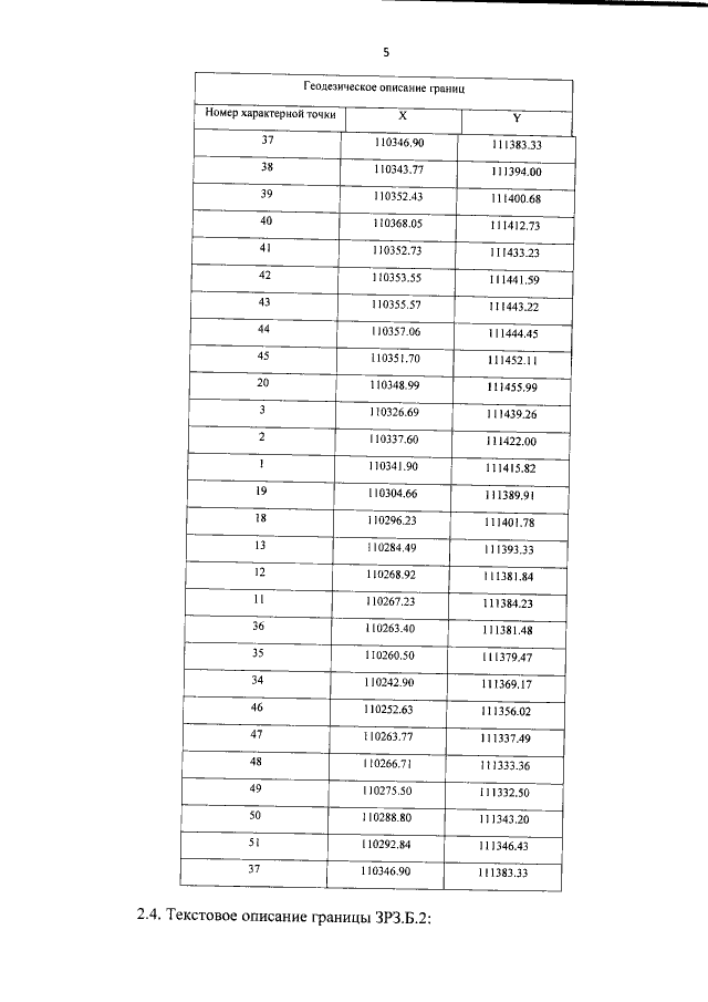
Приказ Службы государственной охраны объектов культурного наследия Ямало-Ненецкого автономного округа от 26.12.2017 № 210
"Об утверждении границ зон охраны, режимов использования земель и требований к градостроительным регламентам в границах данных зон объекта культурного наследия местного (муниципального) значения памятник"Здание начальной школы 501-й стройки, 1950г."
(Зарегистрирован 28.12.2017 № 711)
Номер опубликования: 8901201712290003
Дата опубликования: 29.12.2017
Страница №7 из 15:
Увеличить